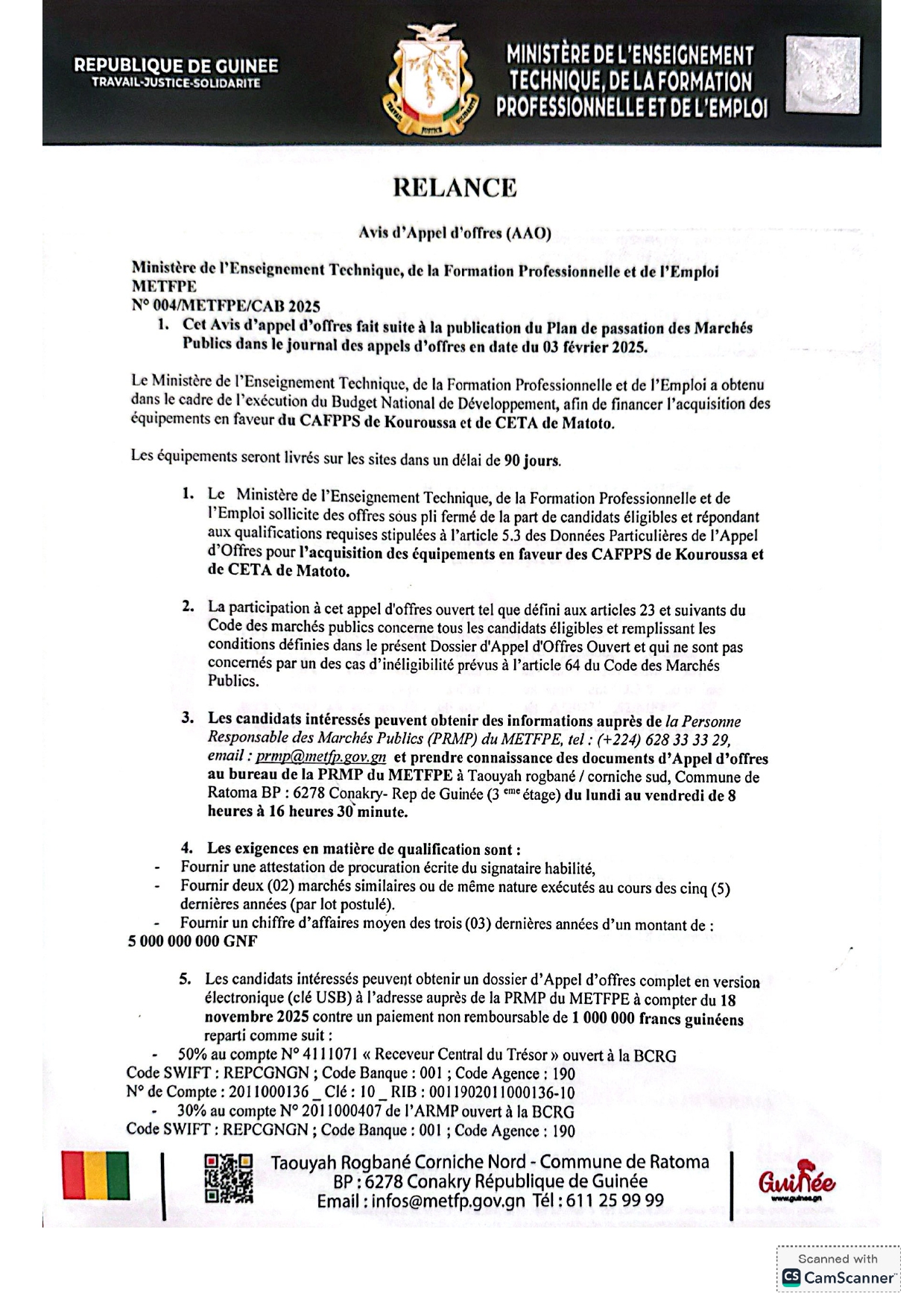
> Relance: Avis d'appel d'offres pour l'acquisition d'équipements en faveur du CAFPPS de Kouroussa et de CETA de Matoto
| Domaine : | COMMERCE (VENTE, FOURNITURE, ACHAT) |
| Lieu d'affectation : | Guinée |
Domaines d'Activité
-
1437 Avis
AUDIT & CONSULTANCE
-
1304 Avis
COMMERCE (VENTE, FOURNITURE, ACHAT)
-
1017 Avis
GESTION - COMPTABILITÉ - RH
-
490 Avis
BTP (Batiment Travaux Publics)
-
310 Avis
TRANSPORT - LOGISTIQUE
-
299 Avis
NTIC & Informatique
-
281 Avis
indéfini
-
236 Avis
COMMUNICATION - JOURNALISME - MARKETING
-
227 Avis
ENSEIGNEMENT - FORMATION - INSERTION
-
165 Avis
Prestation de services
-
157 Avis
FINANCE, BANQUES & ASSURANCE
-
151 Avis
GESTION DE PROJETS
-
125 Avis
SANTÉ - PARAMÉDICAL
-
122 Avis
Ingénieurie
-
93 Avis
Netoyage, Aménagement & Entretien
-
65 Avis
Mines
-
62 Avis
Sécurité, Gardianage
-
46 Avis
SANTÉ - PARAMÉDICAL
-
41 Avis
DROIT
-
31 Avis
HÔTELLERIE - RESTAURATION - TOURISME
-
18 Avis
MÉCANIQUE - AUTOMOBILE
-
16 Avis
Partenariat
-
14 Avis
ONG
-
11 Avis
Evénementiel
-
10 Avis
Langues & Traduction
-
10 Avis
COMMERCIAL, FREELANCE
-
7 Avis
SECRÉTARIAT - ACCUEIL
-
1 Avis
INSTITUTIONS ET GOUVERNEMENT

eur d

